取得日射熱補正係数(fC・fH)の計算方法(ロ:簡易法)
開口部の取得日射熱補正係数fC・fHの値の計算について、ロ)簡易法での計算方法を説明します。
開口部の取得日射熱補正係数fC・fHは庇の効果を表現する係数で、次の3種類の算出方法が認められています。
イ) 地域の区分、方位及び日よけの形状によらず定められた値を用いる方法
(定数法)
ロ) 地域の区分、方位及び開口部の上方の日よけ(オーバーハング)の形状に応じて
簡易的に算出する方法(簡易法)
ハ) 地域の区分、方位及び日よけの形状に応じて算出した
日よけ効果係数とガラスの仕様に応じた斜入射特性を用いる方法
(Energy ZOOでは『新詳細法』と表示しています)
今回はこの中の『ロ)簡易法』の計算について解説いたします。(なお、この『ロ)簡易法』の計算は、天窓には使用できません。ご注意ください。
ロ)簡易法の計算は、上方の日よけ(オーバーハング)のみを計算対象としています(サイドフィンの効果については計算することができません)。
まず、日よけの各寸法を算出します。
y1:日よけの根元から開口部等の上端までの垂直方向の距離(m)
y2:開口部等の高さ寸法(m)
Zy+:開口部等の上方の日よけ(オーバーハング)の壁面からの張り出し寸法(m)
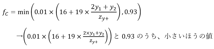
こちらの3種の寸法を使い、次の計算式に当てはめて計算します。
計算式は地域区分、暖房期/冷房期、方位により使うものが違うので注意してください。
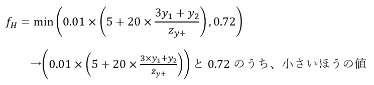
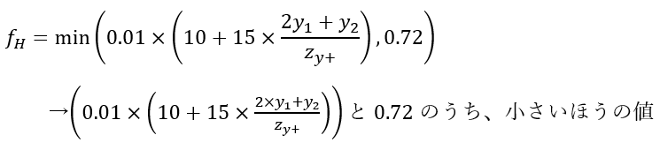
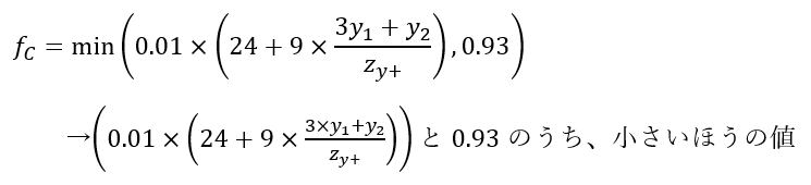
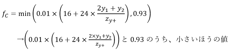
①暖房期における1地域から7地域までの南東面・南面・南西面

②暖房期における1地域から7地域までの南東面・南面
③冷房期における1地域から7地域までの南面
④冷房期における1地域から7地域までの南面以外及び8地域の南東面・南面・南西面以外
⑤冷房期における8地域の南東面・南面・南西面
こちらの計算式を使って、次の窓の日射熱取得量を実際に求めてみたいと思います。
窓の方位:南
地域区分:6地域
面積:5.632㎡(2,560㎜×2,200㎜)
日射熱取得率(垂直面日射熱取得率):0.37(W/㎡)/(W/㎡)
方位係数:6地域、南
→冷房期 0.434 暖房期 0.936
まず取得日射熱補正係数fC・fHを求めます。
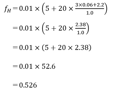
6地域、南窓なので、fCは計算式③、fHは計算式①で計算します。

0.93と比較し、0.4542のほうが小さいので、fC=0.4542となります。

0.72と比較し、0.526のほうが小さいので、fH=0.529となります。
これを使って、窓の日射熱取得量を求めます。
・冷房期の日射熱取得量
=面積 5.632㎡×fC 0.4542×日射熱取得率 0.37×方位係数 0.434
=0.41077237555
・暖房期の日射熱取得量
=面積 5.632㎡×fH 0.526×日射熱取得率 0.37×方位係数 0.936
=1.02594945924
となります。
庇の各寸法を考慮した計算を行うため、日射遮蔽効果を反映した日射熱取得量を求めることができます。
ただし対応している庇はオーバーハングのみであり、サイドフィンを伴う庇の日射遮蔽効果については求めることができません。
サイドフィンを含めた庇の効果を求めたい、さらに正確に日射熱取得量を求めたい場合は、新詳細法の計算が必要になります。
Energy ZOOでは、庇の計算法がワンボタンで選べるだけでなく、必要な値を入力するだけで、自動で計算を実行してくれます。
さらに、付属部材の効果を日射熱取得率にも反映できるため、よりリアルな条件下での計算ができるようになっています。

入力方法についてもう少し詳しく知りたいユーザー様は基本研修の入力ワークショップを、導入前のお客様はオンライン説明にてご相談ください。
————————————————————–
シンプル入力で、リアルな外皮性能計算をわかりやすく。
Energy ZOO 外皮性能計算プログラム(Thermal-C)
お問い合わせはこちら
お問合せ・資料請求
最新の記事